Topik mata pelajaran matematika selanjutnya yaitu: Barisan dan Deret Geometri. Topik ini menjadi favorit yang selalu guru bahas berulang-ulang, karena setiap contoh soal biasanya akan selalu muncul saat menghadapi berbagai jenis contoh soal ujian.
Bahkan persoalan barisan geometri dan deret geometri sangat berguna bagi kita untuk menyelesaikan masalah terkait kehidupan sehari-hari. Contohnya seperti: memprediksi pertumpuhan populasi penduduk, melihat tahun dan bulan kabisat, membuat prospek keuntungan dari penjualan, investasi, dunia coding, dan lain sebagainya.
Supaya sobat jago menghitung soal-soal yang berkaitan dengan topik ini. Sangat menyarankan sobat untuk membaca dan berlatih 50 contoh soal yang ada, dari awal sampai habis. Sehingga bisa mempermudah menyelesaikan permasalahan yang terkait barisan geometri dan deretnya.
Namun sebelum sobat melihat kumpulan contoh soalnya, ada baiknya untuk membaca penjelasan topik berikut:
- Pengertian Barisan Geometri
- Rumus Barisan Geometri
- Contoh Soal Suku Tengah Barisan dan Deret Geometri
- Jenis Barisan Geometri
- Contoh Soal Barisan Geometri dan Pembahasan
- Pengertian Deret Geometri
- Rumus Deret Geometri
- Contoh Soal Deret Geometri dan Jawaban
- Latihan Soal Barisan dan Deret Geometri
Pengertian Barisan Geometri
Apakah sobat pernah melihat sebuah peta?.
Didalam peta tersebut biasanya terdapat bagian yang dinamakan skala dengan tulisan 1 banding 4.000 atau 1 banding 12.000. Secara keseluruhan, skala ini menunjukkan rasio atau perbandingan jarak pada peta dengan jarak yang sebenarnya.
Untuk alasan ini, dapat sobat simpulkan bahwa rasio adalah sebuah angka yang berguna untuk membandingkan ukuran atau nilai dari 2 objek yang berbeda.
Lalu apa ada hubunganya rasio atau perbandingan dengan baris geometri?.
Tentu ada!
Karena barisan geometri adalah kumpulan bilangan yang berurutan dengan perbandingan rasio bernilai sama atau tetap.
Poin penting lainnya. Dalam kasus ini secara matematis contoh pola barisan geometri akan membentuk:
U1, U2, U3, ……, Un
Dengan keterangan:
- a = U1 merupakan suku pertama dari baris geometri
- Maka: r = rasio yang nilainya dari perbandingan antar 2 suku berdekatan
Rasio (Perbandingan)
Untuk memperdalam pemahaman sobat mengenai rasio, coba perhatikan 5 contoh berikut:

Dalam hal ini, dapat terlihat bahwa contoh diatas merupakan barisan geometri. Jadi setiap rasio antara 2 angka berturut-turut akan sama.
Sedangkan, untuk menghitungnya dapat menggunakan cara berikut:

Maka berdasarkan 5 contoh soal ini dapat ditarik kesimpulan:
Misalnya terdapat urutan dari kumpulan bilangan dengan U1, U2, U3 ..… sampai ke Un.
Maka, Un merupakan urutan baris geometri. Sedangkan n menunjukkan letak posisi suku ke-n.
Oleh karena itu, untuk menghitung rasio dapat memakai rumus:

Rumus Barisan Geometri
Secara umum, berdasarkan rumus rasio perbandingan diatas.
Dengan demikian dapat melakukan pemisalan untuk U1 disebut suku pertama yaitu a.
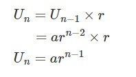
Karena rumus menghitung r = rasio adalah:

Maka dengan menurunkan rumus tersebut akan diperoleh:

Jadi akan membentuk barisan dengan susunan:
a, ar, ar2, ar3, … arn-1
Selain rumus diatas, sobat bisa mencoba rumusan lainnya untuk menentukan suku ke-n atau Un dengan menggunakan jumlah suku ke-n dari baris geometri, yaitu dengan cara:
Un = arn-1
Dengan keterangan berikut:
- a = suku pertama
- r = rasio
- n = jumlah suku
Sedangkan untuk menentukan Nilai Baris Geometri pada suku ke-n (Un) dapat menghitungnya dengan rumus:
Un = Sn – Sn-1
Keterangan:
- Sn = jumlah n dari suku pertama
- Un = Nilai baris suku ke-n
- S(n-1) = jumlah n-1 dari suku pertama
Suku Tengah (Ut)
Sebagai tambahan, suku tengah merupakan nilai menunjukkan sebuah suku yang posisinya (letaknya) berapa tepat di tengah-tengah barisan dan deret geometri. Sehingga membagi antara 2 suku yaitu suku yang sebelah kanan dan kiri menjadi sama rata. (Baca Juga: Apa Saja Jenis Soal HOTS?)
Untuk alasan ini, sobat dapat menentukan suku tengah, jika jumlah suku yang terbentuk merupakan bilangan ganjil.
Contohnya:
- Terdapat sebuah barisan dengan pola berikut: 3, 6, 12, 24, 48. Maka suku tengah adalah 12, posisinya ada pada suku ke-3.
- Misalnya sebuah barisan 5, 10, 20, 40, 80, 160, 320. Maka nilai dari suku tengah adalah 40, posisinya ada pada suku ke-4.
- Misalnya susunan geometri mempunyai pola 4, 8, 16, 32, 64. Jadi suku tengah adalah 16 (posisi di suku ke-3).
Karena susunan baris geometri yang ada pada 3 contoh tergolong sedikit. Maka dapat terlihat langsung nilai suku tengah dan posisi suku tengah.
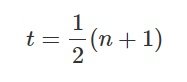
Namun, apabila baris geometri yang terbentuk memiliki susunan yang sangat banyak. Untuk mengetahui posisi dari suku tengah (t), jika banyak suku (n) bernilai ganjil maka dapat menggunakan rumus:

Sedangkan untuk menentukan suku tengah (Ut):
Oleh karena, rumus suku ke-n adalah Un = arn-1
Maka dengan mengkuadratkan sisi kiri dan kanan, menjadi:

Jadi, ketika menghitung suku tengah (Ut) yang terbentuk dari susunan geometri yang sangat banyak dapat memakai rumus berikut ini:

Keterangan:
- Ut = Suku tengah
- t = Posisi dari suku tengah
- a = Suku pertama
- Un = Suku ke-n
- n = banyaknya suku
Contoh Soal Suku Tengah Barisan dan Deret Geometri
1. Sebuah susunan geometri membentuk pola: 2,4,8,…,512. Maka tentukanlah nilai dari suku tengah ?
Jawab:
Ketika menghadapi persoalan baris dan deret geometri, sobat perlu ingat kembali rumusnya, yaitu:
Un = arn-1

Maka dapat terlihat bahwa jumlah suku (n) adalah 9
Selanjutnya, perlu mencari letak posisi suku tengah (t) dengan cara:

Pada akhirnya, letak posisi suku tengah (t) adalah 5
Menggunakan rumus suku tengah berikut:

Maka barismemiliki suku tengah yaitu: 32
2. Sebuah susunan 4, 12, 36, …, 26.244 akan membentuk barisan geometri, maka suku tengahnya adalah …
Diketahui:
Dari soal dapat terlihat bahwa U1 = a = 4, sedangkan suku terakhir (Un) = 26.444
Ditanya: Suku tengah (Ut) = … ?
Jawab:

Oleh karena itu, suku tengahnya adalah 324
3. Terdapat barisan geometri dengan suku ketujuh bernilai 1458, sedangkan suku tengahnya adalah 162. Namun barisan mempunyai rasio sebesar 3. Maka letak posisi suku tengah tersebut, berada pada suku ke …
Diketahui:
- U7 = 1458
- Ut = 162
- r = 3
Ditanya: letak posisi suku tengah (t) = ….?
Jawab:

Selanjutnya, untuk mencari letak posisi suku dengan dapat menggunakan cara berikut:

Maka letak posisi suku tengah (t) adalah 5
4. Terdapat barisan geometri mempunyai suku tengah sebesar 48 dan suku terakhir adalah 768. Maka berapa banyak suku yang terbentuk?, jika rasio perbandingan adalah 2?
Diketahui:
Karena berdasarkan penjelasan soal nomor empat, dapat sobat ketahui bahwa
- Ut = 48
- Un = 768
- r = 2
Ditanya : n = ….?
Jawab:
Pertama sekali, sobat harus mencari suku pertama dari barisan dengan cara:

Kemudian dengan nilai suku pertama (a) = 3 dapat menentukan banyaknya suku (n) dengan cara:

Maka banyak suku (n) dari barisan yang terbentuk adalah 9.
5. Sebuah susunan geometri membentuk baris sebanyak 13 suku, sedangkan suku kelima dari baris adalah 48. Jika suku tengah bernilai 24, maka suku terakhirnya adalah …?
Diketahui:
- n = 13
- U5 = 48
- Ut = 24
Ditanya: U13 = ….?
Jawab:
Karena banyak suku (n) adalah 13, maka suku tengah (t) adalah:
Selanjutnya, sobat perlu mencari nilai rasio (perbandingan) dengan menggunakan rumus :
Berdasarkan rumusan barisan geometri tersebut, maka akan memperoleh:
Selanjutnya, sobat perlu menggunakan metode eliminasi antara U7 dan U5.
Sehingga menjadi:
Kemudian, untuk memperoleh nilai suku pertama (a).
Maka:
a = 48 x 4
Sehingga suku pertama (a) = 192
Maka suku ketiga belas (U13) adalah 3.
6. Hitunglah suku tengah dari barisan geometri. Jika suku pertama bernilai 3, rasio (perbandingan) adalah 2, dan suku terakhir = 192.
Diketahui:
Oleh karena penjelasan yang ada pada soal nomor enam, dapat sobat ketahui:
- a = 3
- r = 2
- Un = 192
Ditanya: Ut = …?
Jawab:
Maka suku tengah (Ut) adalah 24.
7. Misalnya sebuah baris geometri mempunyai suku tengah bernilai 48 dan rasio perbandingan adalah 2. Dimana letak posisi suku tengah, jika terakhir adalah 768?
Diketahui:
- Ut = 48
- r = 2
- Un = 768
Ditanya: t = …?
Jawab:
Untuk mencari letak posisi suku tengah, mula-mula harus mengetahui dahulu nilai suku pertama (U1). Dengan cara:
Kemudian dengan menggunakan rumus barisan geometri, sobat akan menghitung jumlah suku banyak (n).
Terakhir melalui rumus suku banyak, sobat bisa menentukan jumlah suku banyak (n).
Maka jumlah suku banyak (n) adalah 5.
8. Hitunglah suku tengah dengan pola geometri memiliki suku pertamanya adalah 2, jumlah suku banyak 5, dan suku terakhir adalah 162.
Diketahui:
- U1 = a = 2
- n = 5
- U5 = 162
Ditanya: Ut = …?
Jawab:
Sobat harus mengingat kembali rumus untuk menghitung suku banyak yang terbentuk dari pola, yaitu:
Maka dengan cara mensubtitusi nilai kedalam rumus, akan memperoleh:
Jadi suku tengah barisan (Ut) adalah 18.
9. Tentukan nilai suku tengah dari barisan dengan pola 3, 9, 27, ……, 19.683!
Diketahui:
- a = 3
- Un = 19.683
Ditanya: Ut = …?
Jawab:
10. Hitunglah suku tengah sebuah baris geometri yang mempunyai 5 suku banyak, dengan suku kedua adalah 3, dan suku terakhir 24!
Diketahui:
- n = 5
- U2 = 3
- Un = 24
Ditanya: Ut = …?
Jawab:
Hal pertama yang perlu sobat cari adalah rasio (perbandingan), jadi sobat perlu membandingkan suku kedua dan suku kelima.
Seperti penjelasan sebelumnya, bahwasanya pola susunan geometri adalah
a, a r, a r2, …. , a rn-1
Karena nilai rasio (r) adalah 2, sedangkan suku ke-2 adalah 3. Maka dengan menggunakan cara yang sama, sobat dapat menentukan besaran suku pertama, yaitu:
Dari penjelasan soal dapat terlihat bahwa jumlah suku banyak adalah 5. Maka letak posisi suku tengah (t) adalah:
Dengan menggunakan rumus berikut, sobat dapat menghitung nilai suku tengah:
Jadi suku tengah (Ut) adalah 6.
Jenis Barisan Geometri
Berdasarkan nilai rasio perbandingan yang terbentuk pada susunan pola.
Maka ada 2 jenis barisan geometri yang terbagi menjadi:
- Baris Geometri Naik, yaitu: Rasio perbandingan antar dua suku bernilai lebih besar dari satu atau r > 1. Sehingga nilai suku barisan menjadi lebih besar.
- Baris Geometri Turun, yaitu Nilai rasio yang muncul antara nol sampai 1. Maka penulisan matematisnya adalah 0 < r < 1. Akibatnya nilai suku yang ada pada barisan menjadi semakin kecil.
Contoh Soal Barisan Geometri dan Jawaban
1. Hitunglah suku kelima dan rasio perbandingan dari susunan geometri 3, 15, 75,….!
Diketahui: Dari soal terlihat bahwa suku pertama (a) adalah 3
Ditanya: r dan U5 ?
Jawab:
Untuk menghitung rasio bisa memakai cara berikut:
Maka nilai r adalah 5. Selanjutnya sobat dapat menghitung suku kelima dengan rumus:
Oleh karena itu, besarnya suku kelima pada barisan adalah 1875.
2. Dari ketiga susunan berikut, manakah yang termasuk baris geometri naik?
A. 1,2,4,8,….
B. 2,6,18,54,….
C. 24,12,6,3,….
Jawab:
Karena baris geometri naik adalah sebuah pola susunan dengan rasio perbandingan lebih besar dari 1. Jadi untuk menjawab soal ini, sobat perlu menghitung nilai rasio setiap soal.
Soal option A:
Pada option B:
Pada soal option C:
Jadi berdasarkan nilai rasio tersebut, dapat kita simpulkan bahwa: baris geometri naik (r > 1) ada pada option A dan B.
3. Berapakah nilai U8 dari pola geometri dengan susunan 2, U2, U3, U4, U5, 486, U7, U8?
Diketahui:
Menurut soal, dapat kita ketahui bahwa:
- a = 2
- U6 = 486
Ditanya: U8 = ….?
Jawab:
Setelah mengetahui nilai rasio (r) adalah 3, selanjutnya menggunakan cara yang sama. Langkahnya adalah dengan mensubtitusi nilai rasio kedalam persamaan suku kedelapan.
4. Berapakah nilai x.y⁄z dari susunan geometri berikut: 6, x, y, z, 54 ?
Diketahui:
- a= 6
- U5 = 54
Ditanya:
x.y⁄z = …?
Jawab:
Langkah pertama yang sobat harus lakukan adalah menghitung nilai rasio (r), yaitu dengan cara:
Selanjutnya, sobat perlu menentukan nilai x
Sedangkan nilai y adalah:
Kemudian, sobat menghitung nilai z, yaitu:
Adapun langkah terakhir yang harus sobat lakukan adalah:
Maka daripada itu, jawaban soal ini adalah 18.
5. Sebagai contoh, budi menemukan sebuah contoh soal barisan geometri dengan susunan: x, 4x+10, y−6. Jadi hitunglah nilai y-x. Dalam kasus ini, rasionya adalah 2?
Diketahui: r = 2
Ditanya y – x = …?
Jawab:
Secara umum, susunan barisan geometri adalah:
= U1, U2, U3
= a, ar, ar2
Maka dalam soal nomor 5 ini menjadi:
= x, 4x+10, y-6
Sehingga dari susunan diatas, dapat kita ketahui persamaan:
U1 = a = x …..persamaan (1)
Sedangkan U2 = ar = 4x+10 …..persamaan (2)
Selanjutnya dengan menggunakan persamaan (2):

Dengan demikian hasil y-x adalah -9.
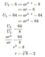
6. Manakala siswa bernama Haikal sedang mengerjakan soal barisan geometri yang mengandung suku ke-2 = 8. Tetapi suku kelima sebesar 64. Maka suku ke-7 yang ada pada soal yang haikal kerjakan adalah ….
Diketahui: U2 = 8 dan U5 = 64
Ditanya: U7 = …?
Jawab:

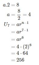
Maka dalam kasus ini: a.r = 8
Dengan demikian:

Sehingga berdasarkan perhitungan tersebut, maka mendapatkan suku ketujuh (U7) adalah 256.
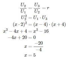
7. Berapakah nilai x yang muncul pada susunan x−4, x−2, x+4 ?
Jawaban:

Oleh karena itu, nilai x adalah 5.
8. Berapa suku kesepuluh dari barisan 3, 6, 12, ….,…..?
Jawaban:
Un = arn-1
Maka dengan mensubtitusi nilai masing-masing menjadi:
U10 = 3 x (2)10-1
U10 = 3 x (2)9
Sehingga: U10 = 1536
9. Hitunglah suku keenam dari pola susunan geometri yang terdiri dari suku ketiga adalah 144 dan suku ketujuh adalah 9!.
Jawaban:

Untuk alasan ini, maka dapat terlihat bahwa suku keenam (U6) dari soal adalah 8.
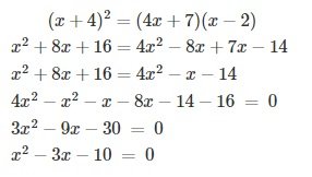
10. Berapa nilai x yang bisa muncul dari contoh soal barisan geometri x−2, x+4, terakhir 4x+7?
Diketahui:
- U1 = x-2
- U2 = x+4
- U3 = 4x+7
Ditanya: nilai x = …?
Jawaban:
Penting untuk disadari bahwa rasio adalah perbanding antar 2 suku berturut. Oleh sebab itu:

Pada kesempatan ini, sobat perlu mensubtitusi nilai U1, U2, dan U3 kedalam persamaan. Untuk tujuan ini, maka akan memperoleh:

Tanpa menunda-nunda lagi, sobat hanya melakukan perkalian silang.
Secara terperinci hasilnya adalah:

Dalam situasi ini, hanya perlu menyederhanakan persamaan kuadrat menjadi:
(X – 5) (X + 2) = 0
Alhasil mendapatkan X = 5 atau X = -2.
11. Sudirman mempunyai sebuah tali yang akan ia bagi menjadi 2 bagian. Kemudian, setiap bagian akan Sudirman potong menjadi 2 bagian lagi dan seterusnya. Namun pada potongan kelima, berapa jumlah bagian tali tersebut?
Diketahui:
- a = 1
- r = 2
Ditanya: U5 = …?
Jawab:
Un = arn-1
U5 = 1 x (2)5-1
Maka U5 = 1 x (2)4 = 16
Dengan demikian pada potongan kelima terbagi menjadi 16 bagian.
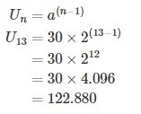
12. Sebuah bakteri mampu menggandakan diri selama 25 menit. Jika terdapat 30 bakteri, berapa banyak bakteri yang muncul selama 5 jam?
Diketahui:
- a = 30
- r = 2
Lamanya waktu adalah 5 jam = 5 x 60 menit = 300 menit. Selain itu, bakteri bisa menggandakan diri selama 25 menit.
Jadi bakteri akan menggandakan diri sebanyak 300 menit : 25 menit = 12 kali.
- Sedangkan n = 12 + 1
Ditanya: U13 = ….?
Jawab:

Maka dalam kurun waktu 5 jam akan muncul 122.880 bakteri.
13. Hitunglah besar dari suku ke-10 yang ada pada baris geometri 1,3,9,27,…..
Diketahui:
- a = 1
- r = 3
- n= 10
Ditanya: U10 = …?
Jawab:
Un = arn-1
U10 = 1 x (3)10-1
Maka U10 = 39 = 19.683
14. Hitunglah suku kesepuluh, jika diketahui 3 suku pertama berturut-turut dari barisan geometri yaitu x, x+2, dan x+6.
Diketahui:
- a = U1 = x
- U2 = x+2
- U3 = x+6
Ditanya: U10 = …?
Jawab:
Mula-mula dengan menggunakan rumus perbandingan rasio, sobat dapat menghitung nilai x.
Karena nilai a = x = 2
Selanjutnya, sobat bisa menentukan nilai besarnya rasio (perbandingan).
Terakhir adalah menghitung nilai suku ke-10, dengan langkah-langkah berikut:
Maka nilai U10 dari barisan adalah 1.024.
15. Hitunglah nilai rasio, jika dalam baris geometri U1+U3=70, sedangkan U2+U4=210
Diketahui:
Persamaan 1: U1 + U3 = 70
Persamaan 2: U2 + U4 = 210
Ditanya: r = …?
Jawab:
Perlu sobat ingat kembali, bahwa rumus Un adalah
Pada persamaan satu:
Selanjutnya menyederhanakan persamaan kedua:
Pengertian Deret Geometri
Seperti yang sudah saya katakan bahwa barisan geometri adalah sekumpulan angka yang membentuk suku-suku dengan urutan dan pola yang bernilai sama sebesar rasio (perbandingan). Akan tetapi, rasio merupakan perbandingan kedua suku angka baris geometri yang berdekatan satu sama lain.
Sama pentingnya, sobat telah mempelajari berbagai contoh soal dan jawaban pembahasan untuk membantu memahami topik selanjutnya yaitu deret geometri. Dengan demikian sobat telah tahu bahwa deret adalah penjumlahan dari suku barisan. Oleh karena itu, ketika sobat menjumlahkan suku-suku yang terbentuk dari baris geometri inilah adalah deret geometri.
Rumus Deret Geometri
Secara umum pengertian deret geometri adalah penjumlahan suku-suku yang berurutan dari barisan geometri.
Sebagai contoh, misalkan barisan membentuk pola: U1, U2, U3, U4, …. Un. Maka, deret geometri yang terbentuk adalah:
Sn = U1 + U2 + U3 + U4 + ….. + Un
Sedangkan Sn merupakan lambang dari deret geometri. Seperti yang sudah saya tunjukkan, bahwa nilai Un adalah:
Un = arn-1
Sehingga akan membentuk sebuah urutan suku barisan dengan :
Maka deret geometrinya adalah:
Rumus menghitung deret geometri dengan r < 1
Rumus menghitung deret geometri dengan r > 1
Dengan keterangan:
- Sn = Deret Geometri
- a = Suku Pertama
- r = Rasio Perbandingan
Tanpa menunda-nunda lagi, untuk lebih mudah memahami topik ini dan menerapkan kumpulan rumusnya. Sobat dapat memperhatikan beberapa contoh berikut:
Contoh Soal Deret Geometri dan Jawaban
1. Mulai tahun 2019, sebuah kantor pos di jalan sudirman mengalami penurunan pengiriman surat sebanyak 1/4 dari tahun sebelumnya. Dalam situasi seperti itu, hitunglah berapa banyak surat yang dikirim dari tahun 2019 sampai dengan 2022!. Jika sebanyak satu juta surat terkirim pada tahun 2019.
Diketahui:
- a = 1.000.000
- r = 1 – 1/4 = 3/4
Ditanya: Sn = …?
Jawab:
Penting untuk disadari bahwa rentang mulai dari 2019 sampai 2022 adalah sebanyak 4 tahun. Oleh karenanya, nilai n adalah 4.
Sebagai gambaran, sobat perlu menghitung S4 dengan menggunakan rumus deret geometri berikut:
Sejalan dengan ini, maka jumlah surat yang terkirim dari rentang 2019 sampai 2022 adalah 2.734.375 surat.
2. Sebuah deret geometri dengan susunan k +1, k -1, k -5 maka harga yang sesuai untuk k adalah …
Diketahui: Dari soal dapat terlihat deret geometri adalah k+1, k-1, k-5
Ditanya: nilai k = …?
Jawab:
3. Sebuah deret geometri mempunyai suku pertama yang bernilai ³√x. Sedangkan suku kelima adalah x². Hanya jika x > 0, hitunglah suku-21 dari deret tersebut?
Diketahui:
- U1 = a = ³√x
- U5 = x²
- x > 0
Ditanya: U21 = ….?
Jawab:
Pertama sekali, sobat wajib memperhatikan nilai suku pertama, yaitu:
Selanjutnya, menyederhanakan suku kelima, dengan cara:
Kemudian yang harus sobat lakukan adalah mensubtitusi nilai a kedalam persamaan U5, menjadi:
4. Dalam deret geometri terdapat suku kedua yaitu 18 dan suku kelima adalah 486. Jika deret tersebut mempunyai rasio perbandingan disebut r, sedangkan suku pertama adalah a. Maka berapakah nilai ar ?
Diketahui:
- U2 = 18
- U5 = 486
- U1 = a
Ditanya: ar = …?
Jawaban:
Pertama, sobat ingat kembali rumus: Un = arn-1Hanya jika sobat mencari nilai rasio (r) melalui membandingkan suku ke-2 dan suku ke-5.
Karena nilai 33 adalah 27. Maka nilai r adalah 3
Selanjutnya, sobat menentukan nilai suku pertama (a):
Dengan demikian, sobat memperoleh r = 3 dan a =6.
ar = 63 = 216
5. Tentukanlan nilai suku ketujuh dari deret geometri berikut: 2/3 + 4/3 + 8/3 + U4 + U5 + U6+ U7
Diketahui:
- a = 2/3
- U2 = 4/3
- U3 = 8/3
Ditanya: U7 = …?
Jawaban:
$$\begin{array}{l} a=U_{1}=\frac{3}{2} \\ r=\frac{U_{2}}{U_{1}}=\frac{\frac{3}{4}}{\frac{3}{2}}=\frac{1}{2} \end{array}$$
Selanjutnya, setelah mengetahui nilai rasio. Untuk alasan ini, sobat dapat menghitung nilai suku ketujuh dengan cara:
$$\begin{aligned} U_{n} &=a \cdot r^{n-1} \\ U_{7} &=a \cdot r^{7-1} \\ &=\frac{3}{2} \cdot\left(\frac{1}{2}\right)^{6} \\ &=\frac{3}{2} \cdot \frac{1}{64} \\ &=\frac{3}{128} \end{aligned}$$
6. Misalnya ada susunan geometri dengan suku ke-1 adalah tiga dan suku kesembilan adalah 768. Maka deret tersebut, mempunyai suku ketujuh sebesar…?
Diketahui:
- U1 = a = 3
- U9 = 768
Ditanya: U7 = …?
Jawaban:
Pertama sekali, harus mencari terlebih dahulu rasio (perbandingan):
$$\begin{aligned} U_{9} &=768 \\ 3 . r^{9-1} &=768 \\ 3 \cdot r^{8} &=768 \\ r^{8} &=\frac{768}{3}=256 \\ r &=\sqrt[8]{256}=2 \end{aligned}$$
Kemudian dengan rumus geometri, sobat bisa menentukan nilai suku ke-7:
$$\begin{aligned} U_{7} &=a r^{7-1} \\ &=3 \cdot 2^{7-1}=3.2^{6} \\ &=3.64=192 \end{aligned}$$
Oleh karena itu, suku ke-7 atau U7 = 192.
7. Hitunglah keenam suku pertama deret geometri 2 + 6 + 18 + … !
Diketahui:
- 𝑎 = 2
- 𝑟 =3
Ditanya: S6 = …?
Jawaban:
Pertama: perlu sobat lihat bahwa rasio =3 merupakan bernilai positif.
$$\begin{aligned} S_{n} &=a \frac{\left(r^{n}-1\right)}{(r-1)} \\ S_{6} &=2 \frac{\left(3^{6}-1\right)}{(3-1)} \\ &=2 \cdot \frac{(729-1)}{2} \\ &=728 \end{aligned}$$
Dengan demikian, dapat sobat tentukan bahwa jumlah 6 suku pertama dari deret geometri pada soal adalah 728.
8. Haikal membagi sebuah kawat membentuk deret geometri dengan 5 bagian. Hanya jika Haikal memotong kawan terpanjang sebesar 160 Cm dan yang terkecil adalah 10 Cm. Maka berapa total panjang kawat semula?
Diketahui:
- U1 = 10
- U5 = 160
- n = 5
Ditanya: S5 = ….?
Jawaban:
Langkah pertama adalah menghitung rasio (r):
$$\begin{array}{l}\mathrm{U}_{\mathrm{n}}=a\mathrm{r}^{\mathrm{n}-1}\\ \mathrm{U}_5=a\mathrm{r}^{5-1}\\ 384=a\mathrm{r}^4\\ 160=10\mathrm{r}^4\\ 10\mathrm{r}^6=160\\ \mathrm{r}^4=\frac{160}{10}\\ r^4=60\\ r^4=2^4\\ r=2\end{array}$$
Kemudian menghitung jumlah 5 suku pertama dari deretan geometri:
$$\begin{array}{l} \mathrm{S}_{\mathrm{n}}=\frac{a\left(r^{n}-1\right)}{r-1} \text { untuk } r>1 \\ \mathrm{S}_{5}=\frac{10\left(2^{5}-1\right)}{2-1} \\ \mathrm{S}_{5}=\frac{10(32-1)}{1} \\ \mathrm{S}_{5}=10.31 \\ \mathrm{S}_{5}=310 \end{array}$$
Dengan pemikiran ini, panjang kawat adalah 310 Cm
9. Selanjutnya haikal membeli kawat yang lain, kemudian ia memotong-motongnya menjadi 9 bagian. Hanya jika potongan kawat terkecil adalah 4 Cm dan terbesar 1.024 cm. Maka berapa Centimeter panjang kawat semula yang Haikal beli?
Diketahui:
- U1 = 4
- U9 = 1.024
- n = 9
Ditanya: S9 = ….?
Jawaban:
Tindakan pertama yang sobat lakukan adalah mencari nilai rasio (perbandingan) dengan cara:
$$\begin{array}{l} \mathrm{U}_{\mathrm{n}}=a r^{\mathrm{n}-1} \\ \mathrm{U}_{9}=4 \mathrm{r}^{9-1} \\ \mathrm{U}_{9}=4 \mathrm{r}^{8} \\ 1.024=4 r^{8} \\ r^{8}=\frac{1.024}{4} \\ r^{8}=256 \\ r=2 \end{array}$$
Maka, sobat memperoleh rasio = 2. Karena rasio bernilai positif, untuk menghitung jumlah suku kesembilan menggunakan rumus:
$$\begin{array}{l} \mathrm{S}_{\mathrm{n}}=\frac{a\left(r^{n}-1\right)}{r-1} \text { untuk } r>1 \\ \mathrm{S}_{9}=\frac{4\left(2^{9}-1\right)}{2-1} \\ \mathrm{S}_{9}=\frac{4(512-1)}{1} \\ \mathrm{S}_{9}=4.511 \\ \mathrm{S}_{9}=2.044 \end{array}$$
Oleh karena itu, panjang kawat semula adalah 2.044 Cm.
10. Seutas tali terpotong menjadi 7 bagian, jika bagian tali tersebut dijumlahkan akan membentuk deret geometri. Ketika memotong tali ternyata bagian terpendek adalah 6 Cm dan bagian terpanjang 384 cm. Maka berapakah panjang semua bagian tali itu?
Diketahui:
- n = 7
- a = 6 Cm
- U7 = 384 Cm
Ditanya: S7 = …?
Jawaban:
Pertama-tama, sobat perlu menghitung nilai rasio (r):
$$\begin{array}{l}\mathrm{U}_{\mathrm{n}}=a\mathrm{r}^{\mathrm{n}-1}\\ \mathrm{U}_7=6\cdot\mathrm{r}^{7-1}\\ 384=6\cdot\mathrm{r}^6\\ \mathrm{r}^6=64\\ 2^6=64\\ \mathrm{r}=2\end{array}$$
Oleh karena nilai r = 2, artinya bernilai lebih besar dari 1. Maka Sn menggunakan rumus:
$$\begin{array}{l}\mathrm{S}_{\mathrm{n}}=\frac{a\left(r^n-1\right)}{r-1}\text{ untuk }\mathrm{r}>1\\ \mathrm{S}_7=\frac{6\left(2^7-1\right)}{2-1}\\ \mathrm{S}_7=\frac{6(128-1)}{1}\\ \mathrm{S}_7=6.127\\ \mathrm{S}_7=762\end{array}$$
Dengan demikian panjang keseluruhan tali adalah 762 Cm.
11. Dalam usus seorang pasien terdapat bakteri berbahaya yang bisa berkembangbiak dengan cepat. Oleh karena itu, usus pasien tersebut perlu dibersihkan setiap 3 jam. Sehingga mengurangi jumlah baktersi sebanyak 20%. Misalnya, pemeriksaan awal terjadi jam 09.00 terdapat 2.560 bakteri dan dokter langsung melakukan pembersihan pertama. Maka berapa jumlah bakteri pada pukul 21.00?
Diketahui:
- U1= 2.560
- r = 1 – 20% = 80% = 4/5
Ditanya: U5 = …?
Jawaban:
$$\begin{aligned}U_5&=ar^4\\ &=2.560\times\left(\frac{4}{5}\right)^4\\ &=2.560\times\frac{256}{625}=1.048,576\end{aligned}$$
Maka sekitar pukul 21.00 terdapat 1.048.576 bakteri.
12. Apabila terdapat deret geometri yang suku kelima adalah 64. Sedangkan suku kedua sama dengan 8. Maka berapakah jumlah n suku pertama dan jumlah 10 suku pertama deret geometri itu.
Diketahui:
- U5 = 64
- U2 = 8
Ditanya:
- Sn = …?
- S10 = ….?
Jawaban:
Pertama sekali, sobat menghitung nilai rasio (perbandingan):
Maka diperoleh r = 2.
U2 = a x r
8 = a x 2
a = 8 : 2 = 4
Dengan demikian, a = suku pertama (U1) adalah 4
$$\begin{aligned}U_2&=8,\text{ berarti ar }=8\\ U_3&=64,\text{ berarti ar }^4=64\\ \text{ a x r}^3&=64\\ 8\ x\ r^3&=64\\ r^3&=8\\ r^3&=2^3\\ r&=2\end{aligned}$$
Kemudian menentukan jumlah suku ke-n, dengan cara:
$$\begin{aligned} S_{n} &=\frac{4\left(1-2^{n}\right)}{1-2} \\ &=\frac{4-4.2^{n}}{-1} \\ &=4.2^{n}-4 \\ &=2^{2} \cdot 2^{n}-4 \\ &=2^{2+n}-4 \end{aligned}$$
Terakhir, menghitung jumlah suku ke-10. Dengan cara berikut:
$$\begin{aligned} \mathrm{S}_{10} &=2^{2+10}-4 \\ &=2^{12}-4 \\ &=4096-4 \\ &=4092 \end{aligned}$$
13. Hitunglah berapa jumlah suku ketujuh dari deret geometri berikut 4 + 12 + 36 + 108 +…
Diketahui:
- U1 = a = 4
- U2 = 12
r = U2 : U1
r = 12 : 4 = 3
Ditanya: S7 = …?
Jawaban:
$$\begin{array}{l} \mathrm{Sn}=\frac{a\left(r^{n}-1\right)}{(r-1)} \\ \mathrm{S}_{7}=\frac{4\left(3^{7}-1\right)}{(3-1)}, \mathrm{S}_{7}=4372 \end{array}$$
Jadi jumlah suku ke-7 adalah 4372.
14. Hitunglah berapa jumlah suku keenam dari deret geometri yang membentuk susunan 3/8 + 3/4 + 3/2 + ……
Diketahui:
- a = 3/8
- U2 = 3/4
- U3 = 3/2
Ditanya: S6 = …?
Jawaban:
Langkah pertama yang sobat lakukan adalah menghitung rasio (r).
$$\begin{array}{l}r=\frac{U_2}{U_1}=\frac{3/4}{3/8}\\ r=\frac{3}{4}x\frac{8}{3}\\ r=\frac{8}{4}\\ r=2\end{array}$$
Oleh karena r = 2 berarti r > 1 maka sobat bisa menggunakan rumus berikut:
$$\begin{array}{l}\mathbf{S}_{\mathbf{n}}=\frac{a\left(r^n-1\right)}{r-1}\\ \mathrm{S}_6=\frac{\frac{3}{8}\left(2^6-1\right)}{2-1}\\ S_6=\frac{\frac{3}{8}(64-1)}{1}\\ \mathrm{S}_6=\frac{3}{8}(63)\\ \mathrm{S}_6=\frac{189}{8}\\ \mathrm{S}_6=23\frac{5}{8}\end{array}$$
15. Tentukannya berapa suku kesebelas dari deret geometri 3 + 9 + 27 + 81….
Diketahui:
- U1 = a = 3
- U2 = 9
Ditanya: U11 = …?
Jawaban:
Pertama, sobat menentukan nilai r (rasio):
Selanjutnya menghitung nilai U11 dengan cara berikut:
Maka suku ke-11 adalah 177.147.
Latihan Contoh Soal Barisan dan Deret Geometri :
1. Hitunglah jumlah n dari suku pertama yang terbentuk dari deret geometri. Hanya jika suku kedua = 10, sedangkan suku kelima adalah 1250.
Jawaban:
2. Tentukan besaran nilai rasio dari deret geometri yang memiliki rumus 23(n)-1
Jawaban:
Mula-mula, sobat perlu menghitung nilai suku ke-1 (U1) dan suku ke-2 (U2)
Suku pertama
S1 = 2³⁽¹⁾⁻¹ = 2² = 4
Sedangkan pada suku kedua
S2 = 2³⁽²⁾⁻¹
S2 = 2⁵
Maka S2 = 32
Oleh karena: S2 = U1 + U2
Jadi:
U2 = S2 – U1
U2 = 32 – 4
Sehingga U2 = 28
Jadi nilai rasio deret adalah 7.
3. Hitungan rasio perbandingan dari deret geometri yang memiliki rumusan Sn = 2n + 1 + 2n – 3.
Jawaban:
Dengan demikian rasio (perbandingan) adalah 2.
4. Ada sebuah barisan geometri yang punya suku kedua adalah 6 dan suku keenam adalah 96. Hanya jika rasio yang terbentuk bernilai negatif. Jadi berapakah suku pertama dari barisan itu?
Jawab:
5. Jumlah penduduk negeri wakanda pada tahun 2010 adalah 16 juta jiwa. Selanjutnya sekitar tahun 2014 terjadi peningkatan menjadi 81 juta jiwa. Hanya jika persen pertambahan penduduk per tahun adalah X %. Maka berapa jumlah penduduk yang ada pada tahun 2016?.
Jawaban:
Misalkan:
Jumlah penduduk tahun 2010 adalah suku k-1 yaitu a. Maka nilai U1 = a = 16.000.000
Selanjutnya penduduk tahun 2015 merupakan suku kelima. Jadi U5 = 81.000.000
Kemudian, sobat perlu membandingkan U5 dengan U1, dengan cara:
Terakhir adalah menghitung pendudukan pada tahun 2016 yaitu U7.
Terakhir dengan menggunakan rumus barisan geometri, akan memperoleh:

Oleh karena itu, pertambahan pendudukan pada tahun 2016 adalah sebesar 182.250.000 jiwa.
6. Setiap bulannya, sebuah fotocopy mempunyai penghasilan bertambah 2 kali lipat dari keuntungan bulan sebelumnya. Hanya jika pada bulan ke-1 mempunyai keuntungan sebesar Rp 600.000,00. Maka, berapakah keuntungan pada bulan ke-6 dari fotocopy tersebut ?
Diketahui:
- r = 2
- U1 = 600.000
Ditanya: U6 = …?
Jawaban:
Un = arn-1
U6 = 600.000 x (2)6-1
Dengan demikian, U6 = 600.000 x (2)5
U6 = 600.000 x 32 = 19.200.000
Dengan demikian, fotocopy mempunyai keuntungan pada bulan ke-6 adalah sebesar Rp19.200.000.
7. Kecoa mempunyai pertambahan populasi sebesar dua kali lipat. Hanya jika populasi awal kecoa adalah 5.000 ekor. Maka 10 tahun mendatang, berapakah jumlah populasi kecoa tersebut?
Diketahui:
- a = 5.000
- r = 2
Ditanya: U10 = …?
Jawaban:
Un = arn-1
U10 = 5000 x (2)10-1
Jadi, U10 = 5000 x (2)9
U10 = 5000 x 512 = 2.560.000
8. Hitunglah rasio (perbandingan) dan suku keenam dari susunan geometri 2, 6, 18, 54, ….. .
Jawab:
Pertama sekali, sobat perlu menentukan nilai rasio (r), dengan langkah berikut:

Maka untuk menghitung nilai suku ke-6 dengan a = 2 dan r = 3 adalah sebagai berikut :
Un = arn-1
U6 = 2 x (3)6-1
Maka, U6 = 2 x (3)5
U6 = 2 x 243 = 486
9. Apabila suku ke-1 dari baris geometri adalah 24 dan suku ketiga sama dengan 8/3. Maka tentukan berapa suku ke-5 dari barisan.
Diketahui:
- U1 = a = 24
- U3 = 8/3
Ditanya: U5 = …?
Jawaban:
Pertama: sobat menentukan nilai n dan r. Dengan cara berikut ini:

Selanjutnya menghitung U5 melalui cara:

10. Tentukan jumlah 10 suku pertama dari deret geometri 16 – 8 + 4 – 2 + ….
Diketahui:
- U1 = a = 16
- U3 = -8
Ditanya: S10 = …?
Jawaban:
Pertama: Menghitung nilai rasio (r) perbandingan, melalui cara:

Selanjutnya adalah menghitung jumlah suku ke-10 pertama, yaitu:

Akhir Kata
Barisan geometri adalah barisan bilangan yang terdiri dari suku-suku dengan perbandingan tetap. Suku pertama barisan geometri dilambangkan dengan a. Rasio atau perbandingan antara dua suku diwakili oleh r. Baris geometri dapat dinyatakan sebagai: a, ar, ar2, ar3, …, arn-1.
Selanjutnya, sama halnya seperti pada deret aritmatika, jika sobat ingin membentuk deret geometri, sobat dapat membentuknya dengan cara menjumlahkan suku-suku baris geometri. Secara umum dapat dikatakan: Jika U1, U2, U3, …., Un…, adalah suku-suku barisan geometri. Sedangkan U1 + U2 + U3 ..… + Un + …. disebut deret geometri.
